Support
icon_0328_cc_gen_hmr_bacteria-s

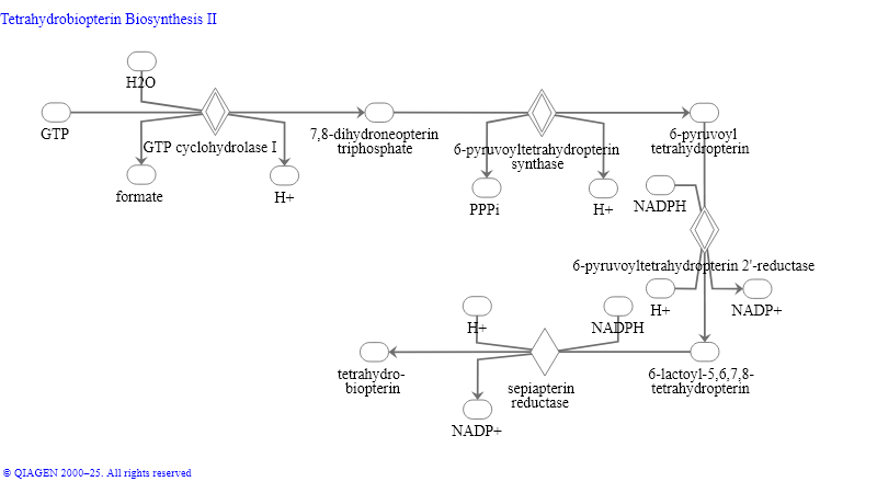
Tetrahydrobiopterin Biosynthesis II

General Background tetrahydrobiopterin is a cofactor of several enzymes, including the aromatic amino acid hydroxylases tryptophan 5-hydroxylase 1, tyrosine hydroxylase, and

Tetrahydrobiopterin Biosynthesis II

Pathway Summary

General Background tetrahydrobiopterin is a cofactor of several enzymes, including the aromatic amino acid hydroxylases tryptophan 5-hydroxylase 1, tyrosine hydroxylase, and CPLX-7067 (which are essential for the formation of the neurotransmitters dopamine, noradrenaline, adrenaline and serotonin - see catecholamine biosynthesis), all three nitric-oxide synthases (NOS) eNOS, nNOS, and iNOS (see citrulline-nitric oxide cycle), and the enzyme glyceryl-ether monooxygenase. In addition, tetrahydrobiopterin has been proposed to be involved in promotion of neurotransmitter release in the brain (1680529) and regulation of human melanogenesis (8128228). Deffciency causes severe neurological disorders characterized by hyperphenylalaninaemia and monoamine neurotransmitter deffciency, and is also implicated in Parkinson's disease, Alzheimer's disease and depression ((10727395),(11592814). tetrahydrobiopterin is present in probably every cell or tissue (10727395). About This Pathway While most of the tetrahydrobiopterin in mammalian cells is probably formed as described in the pathway tetrahydrobiopterin biosynthesis I, a study performed with rat brains has shown that when the activity of the enzyme sepiapterin reductase (L-threo-7,8-dihydrobiopterin forming) is limiting, a second pathway can lead to tetrahydrobiopterin production (2656673). In this route, 6-pyruvoyl tetrahydropterin is converted by the enzyme 6-pyruvoyltetrahydropterin 2'-reductase to 6-lactoyl-5,6,7,8-tetrahydropterin, which is then converted to tetrahydrobiopterin by sepiapterin reductase (L-threo-7,8-dihydrobiopterin forming).

Products related to Tetrahydrobiopterin Biosynthesis II

Explore products related to Tetrahydrobiopterin Biosynthesis II
QuantiNova LNA PCR Focus Panel Human Dopamine & Serotonin Pathway
GeneGlobe ID: SBHS-158Z | Cat. No.: 249950 | QuantiNova LNA PCR Focus Panels
QuantiNova LNA PCR Focus Panel
Product Specification
RT² Profiler™ PCR Array Human Alzheimer's Disease
GeneGlobe ID: PAHS-057Z | Cat. No.: 330231 | RT2 Profiler PCR Arrays
RT2 Profiler PCR Array
Product Specification
RT² Profiler™ PCR Array Human Dopamine & Serotonin Pathway
GeneGlobe ID: PAHS-158Z | Cat. No.: 330231 | RT2 Profiler PCR Arrays
RT2 Profiler PCR Array
Product Specification
QuantiNova LNA Probe PCR Focus Panel Human Dopamine & Serotonin Pathway
GeneGlobe ID: UPHS-158Z | Cat. No.: 249955 | QuantiNova LNA Probe PCR Focus Panels
QuantiNova LNA Probe PCR Focus Panel
Product Specification
QuantiNova LNA Probe PCR Focus Panel Human Nitric Oxide Signaling Pathway
GeneGlobe ID: UPHS-062Z | Cat. No.: 249955 | QuantiNova LNA Probe PCR Focus Panels
QuantiNova LNA Probe PCR Focus Panel
Product Specification
QuantiNova LNA PCR Focus Panel Human Parkinson's Disease
GeneGlobe ID: SBHS-124Z | Cat. No.: 249950 | QuantiNova LNA PCR Focus Panels
QuantiNova LNA PCR Focus Panel
Product Specification
QuantiNova LNA PCR Focus Panel Human Nitric Oxide Signaling Pathway
GeneGlobe ID: SBHS-062Z | Cat. No.: 249950 | QuantiNova LNA PCR Focus Panels
QuantiNova LNA PCR Focus Panel
Product Specification
RT² Profiler™ PCR Array Human Huntington's Disease
GeneGlobe ID: PAHS-123Z | Cat. No.: 330231 | RT2 Profiler PCR Arrays
RT2 Profiler PCR Array
Product Specification
RT² Profiler™ PCR Array Human Nitric Oxide Signaling Pathway
GeneGlobe ID: PAHS-062Z | Cat. No.: 330231 | RT2 Profiler PCR Arrays
RT2 Profiler PCR Array
Product Specification
RT² Profiler™ PCR Array Human Parkinson's Disease
GeneGlobe ID: PAHS-124Z | Cat. No.: 330231 | RT2 Profiler PCR Arrays
RT2 Profiler PCR Array
Product Specification
QuantiNova LNA Probe PCR Focus Panel Human Parkinson's Disease
GeneGlobe ID: UPHS-124Z | Cat. No.: 249955 | QuantiNova LNA Probe PCR Focus Panels
QuantiNova LNA Probe PCR Focus Panel
Product Specification
QuantiNova LNA Probe PCR Focus Panel Human Alzheimer's Disease
GeneGlobe ID: UPHS-057Z | Cat. No.: 249955 | QuantiNova LNA Probe PCR Focus Panels
QuantiNova LNA Probe PCR Focus Panel
Product Specification
QuantiNova LNA PCR Focus Panel Human Alzheimer's Disease
GeneGlobe ID: SBHS-057Z | Cat. No.: 249950 | QuantiNova LNA PCR Focus Panels
QuantiNova LNA PCR Focus Panel
Product Specification

Didn't find what you're looking for?

Discover other products relevant to this gene list with our Panel Finder. Check it out.